Layman’s Explanation RE: Butch Conz, Eileen Conz, Margaret Keenum Ackiss AKA Margo - North Carolina VFAF Impersonation and false talking points:
First, note that during the presidential campaign, the President’s legal team explicitly authorized fundraising in Donald Trump’s name in exchange for a 5% contribution to the campaign. Therefore, any claim by Conz that such fundraising was improper is demonstrably false, particularly given that no fundraising actually occurred by L-Strategies at anytime.
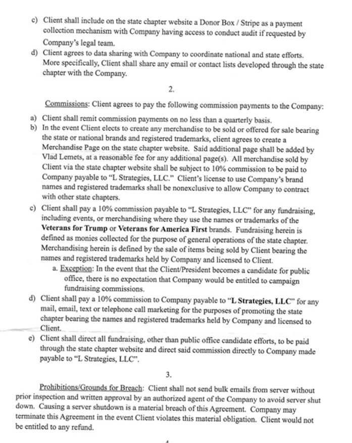
Next, the state chapter contractual agreement Conz violated:
-
The Contract and Trademark Timing
-
On December 7, 2023, Butch Conz signed a contract with L-Strategies/Jared Craig to run a VFAF state chapter.
-
At the time he signed, the trademark was live with the USPTO:
-
Veterans for America First (Serial No. 97690169) Abandoned January 5, 2024:
Link:https://tsdr.uspto.gov/#caseNumber=97690169&caseSearchType=US_APPLICATION&caseType=DEFAULT&searchType=documentSearch
-
-
This means the mark was officially filed and pending, giving full notice that the name was claimed.
-
Any claim now that there were no trademark at the time is false—the mark was live, and signing a contract using it was fully legitimate.
-
-
Conz Violated the Contract
-
Immediately after signing, Conz cloned the VFAF website and blocked auditing (access), which directly breaches the contract terms.
-
His current argument that he was “defrauded” because there were no trademarks ignores the fact that the mark was live and active when he signed.
-
-
North Carolina Filings Don’t Help Him
-
Conz later filed documents in NC SOS and other states, claiming he is the “legitimate” VFAF.
-
These filings do not override the established use of VFAF since 2015.
-
Filing a business name in a state does not create federal trademark rights or retroactive legitimacy over an organization that has been operating under the name for years.
-
In short: Craigs’ VFAF is the original, legitimate entity, and Conz’s state filings cannot change that fact.
-
Bottom Line: Conz’s story is a false talking point. He broke the contract, and the trademark was live when he signed. Any claims about lack of a trademark are factually incorrect. His state filings don’t establish legitimacy over the original VFAF.
Legal Explanation:
-
Trademark Status and Good Faith Use
-
USPTO records show the Veterans for America First (97690169) mark was live when Conz signed the contract (TSDR confirms live status).
-
According to federal trademark law:
-
A pending trademark application gives constructive notice of claim to the mark (15 U.S.C. §1072).
-
Contracts executed while a mark is live are presumed valid and in good faith.
-
-
Conz cannot claim he was defrauded because a live trademark existed when he agreed to operate a state chapter.
-
-
Breach of Contract
-
Conz’s cloning of the VFAF website violates the terms of the state chapter contract, which clearly stated access (audit).
-
Courts recognize unauthorized duplication or diversion of organizational websites as a breach of contractual duties, particularly when it prevents auditing or oversight.
-
-
State Filings Do Not Confer Federal Rights
-
North Carolina (or other state) business filings do not create federal trademark rights or override prior use.
-
Craigs’ VFAF has established use since 2015, giving common law rights and priority over later filings (see 15 U.S.C. §1052(d); TMEP §§901-902).
-
Conz’s post-contract filings cannot retroactively validate his claim or establish legitimacy over the pre-existing VFAF entity.
-
-
Legal Implication
-
Any argument by Conz that he was defrauded due to “no trademark” is legally invalid, because:
-
The trademark was live at contract signing.
-
He breached the contract immediately by cloning the website.
-
State filings cannot supersede federal or prior common law rights.
-
-
Conz is attempting to use a false legal narrative to justify or cover up his contractual and IP violations.
-




